A
Binääripuu
Niitä on erilaisia binääripuutyypit mutta täällä aiomme keskustella erosta Täydellinen binääripuu ja Täysi binääripuu .
Täysi binaaripuu:
Täysi binääripuu on binääripuu, jossa kaikilla solmuilla on joko 0 tai 2 jälkeläistä . Toisin sanoen täysi binääripuu on binääripuu, jossa kaikilla solmuilla lehtisolmuja lukuun ottamatta on kaksi jälkeläistä.
Täysi binaarinen puu
Antaa, i on sisäisten solmujen lukumäärä
n on solmujen kokonaismäärä
l olla lehtien lukumäärä
l olla useita tasojaSitten,
Lehtien määrä on (i + 1) .
Solmujen kokonaismäärä on (2i + 1) .
Sisäisten solmujen lukumäärä on (n – 1) / 2 .
Lehtien määrä on (n + 1) / 2 .
Solmujen kokonaismäärä on (2 l - 1) .
Sisäisten solmujen lukumäärä on (l-1) .
Lehtien määrä on korkeintaan (2l- 1) .
Täydellinen binääripuu:
Binääripuun sanotaan olevan a täydellinen binääripuu jos kaikilla sen tasoilla, paitsi mahdollisesti viimeisellä tasolla, on maksimimäärä mahdollisia solmuja ja kaikki solmut viimeinen taso näkyvät mahdollisimman vasemmalle .
Täydellinen binääripuu
On 2 pistettä, jotka voit tunnistaa täältä,
- Lehtisolmun vasen puoli on aina täytettävä ensin.
- Viimeisellä lehden solmulla ei tarvitse olla oikeaa sisarusta.
Tarkista seuraavat esimerkit ymmärtääksesi täydellisen ja täydellisen binääripuun paremmin.
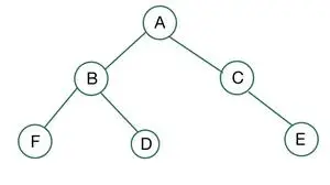
Esimerkki 1:
Ei täydellinen eikä täysi
- Solmu C on siis vain yksi lapsi, se ei ole täysi binääripuu.
- Solmu C hänellä on myös oikea lapsi, mutta ei siis vasenta lasta se ei myöskään ole täydellinen binääripuu.
Näin ollen yllä oleva binääripuu on ei täydellinen eikä täysi binääripuu.
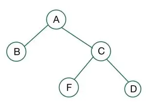
Esimerkki 2:
Täysi mutta ei täydellinen
sisältää merkkijonossa
- Kaikissa solmuissa on jompikumpi 0 tai 2 jälkeläisiä siis se on täysi binääripuu .
Se ei ole täydellinen binääripuu, koska solmu B ei ole lapsia, kun taas solmu C on lapsia, ja täydellisen binääripuun mukaan solmut tulee täyttää vasen puoli .Tästä syystä yllä esitetty binääripuu on a Täysi binääripuu ja se on ei ole täydellinen binääripuu.
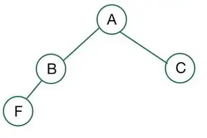
Esimerkki 3:
Täydellinen mutta ei täysi
Se on täydellinen binääripuu, koska kaikki solmut jätetään täytetyiksi.
- Solmulla B on vain yksi lapsi, joten se ei ole täysi binääripuu.
Tästä syystä yllä esitetty binääripuu on a Täydellinen binääripuu ja se on ei täysi binääripuu.
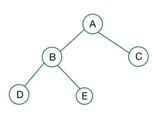
Esimerkki 4:
Täydellinen ja täynnä
- Se on a Täydellinen binaari puu, koska kaikki solmut ovat vasen täytetty .
- Kaikissa solmuissa on jompikumpi 0 tai 2 jälkeläisiä, siksi se on a täysi binääripuu .
Näin ollen yllä oleva binääripuu on sekä täydellinen että täysi binääripuu.
| Kyllä ei. | Täydellinen binääripuu | Täysi binääripuu |
| 1. | Täydellisessä binääripuussa viimeisen tason solmulla voi olla vain yksi lapsi. | Täydessä binääripuussa solmulla ei voi olla vain yksi lapsi. |
| 2. | Täydellisessä binääripuussa solmu tulee täyttää vasemmalta oikealle. | Täydessä binääripuussa ei ole solmujen täyttöjärjestystä. |
| 3. | Täydellisiä binääripuita käytetään pääasiassa kasapohjaisissa tietorakenteissa. | Täydellä binääripuulla ei ole sellaisenaan sovellusta, mutta sitä kutsutaan myös oikeaksi binääripuuksi. |
| 4. | Täydellistä binääripuuta kutsutaan myös lähes täydelliseksi binääripuuksi. | Täysi binääripuu, jota kutsutaan myös oikeaksi binääripuuksi tai 2-puuksi. |
| 5 | Täydellisen binääripuun koko lehtisolmun on oltava täsmälleen samalla syvyydellä. | Täysin binääripuun lehtien tason ei välttämättä tarvitse olla samalla syvyydellä. |





